Statistical Sampling: Types, Methods and Examples

Article last updated:
Article first published:
Statistical sampling is a fundamental technique in research, enabling analysts to conclude a large population by studying a smaller subset. Whether in scientific studies, market research, or quality control, sampling helps gather data efficiently while maintaining accuracy. Instead of surveying an entire population, researchers rely on carefully chosen samples to make predictions, detect trends, and validate hypotheses.
Sampling is essential because analyzing an entire population is often impractical due to time constraints, costs, and logistical challenges. For instance, in national election polling, researchers do not ask every citizen about their voting preference; instead, they survey a representative sample to predict outcomes. In business, companies conduct customer satisfaction surveys using a fraction of their customer base to assess overall brand perception. By using statistical sampling methods, researchers ensure their findings are both reliable and applicable to broader populations.
In this article, we will explore the concept of sampling, its significance, the different types of sampling, and share the best practices when sampling. We will also dive into different sampling methods, practical examples, and key considerations for selecting the right approach.
What is Sampling?

Sampling is a statistical method used in data analysis, research, and probability theory to select a subset of individuals or data points from a larger population.
Sampling helps researchers conclude a whole population without needing to study every individual, making data collection more efficient.
According to Cochran (1977), "Sampling is the process of selecting units from a population to estimate characteristics of the whole population."
Researchers, data analysts, and scientists use sampling to conduct surveys, experiments, and statistical modeling. It reduces costs, time, and effort while maintaining accuracy if done correctly.
The concept of sampling dates back to early statistical methods in the 18th century, gaining structure with the development of probability theory by Pierre-Simon Laplace in the 19th century.
Why Is Sampling Important?
Sampling plays a crucial role in research, analytics, and decision-making across multiple industries. Without proper sampling techniques, studies would be either infeasible or unreliable due to excessive costs and time demands. One of the most significant advantages of sampling is its ability to provide accurate insights without requiring the entire population’s participation. Well-executed sampling methods ensure that the results are representative, allowing for generalizable conclusions.
For example, in healthcare, clinical trials use sample groups to evaluate new drugs before they are widely distributed. This process ensures safety and effectiveness without exposing the entire population to potential risks. Similarly, in market research, businesses rely on customer surveys to gauge preferences and predict purchasing behaviors without needing feedback from every consumer.
Another important aspect of sampling is its role in reducing bias and improving data reliability. A properly selected sample eliminates distortions that might occur if researchers only gathered data from easily accessible or convenient sources. By applying statistical techniques, such as randomization, researchers ensure their samples reflect the diversity of the larger population.
Furthermore, sampling enhances efficiency and cost-effectiveness. Conducting a nationwide census, for example, requires immense resources and time. However, a well-structured sample survey can deliver comparable insights at a fraction of the cost. By strategically choosing participants, organizations can make data-driven decisions more quickly and effectively.
Population vs. Sample

A fundamental concept in statistics is the distinction between a population and a sample. A populationrefers to the complete set of individuals, objects, or events that researchers wish to study. It encompasses every possible observation that fits the study criteria. For instance, if a company wants to analyze customer satisfaction, the population could include all existing customers. Similarly, in a study on voter behavior, the population consists of all eligible voters in a particular region or country.
A sample, on the other hand, is a subset of the population selected for analysis. Since studying an entire population is often impractical, researchers extract a representative sample that reflects the characteristics of the whole group. The goal is to ensure that the sample accurately mirrors the larger population so that conclusions drawn from it can be generalized.
The relationship between a population and a sample is vital because an unrepresentative sample can lead to misleading results. For example, if a market research firm only surveys urban consumers while ignoring rural demographics, its findings will not represent the entire market. To ensure reliability, researchers use specific sampling techniques to minimize bias and maximize representativeness.
Types of Probability Sampling Methods
- Simple Random Sampling
- Stratified Sampling
- Systematic Sampling
- Cluster Sampling
1. Simple Random Sampling

- Lottery methods (e.g., drawing names from a hat).
- Random number generators (e.g., computer-generated selections).
2. Stratified Sampling

3. Systematic Sampling

- Randomly select a starting customer (e.g., the 25th customer).
- Select every 10th customer after that (25, 35, 45, 55…).
4. Cluster Sampling

Non-Probability Sampling Methods
Non-probability sampling refers to sampling techniques where not all members of the population have an equal chance of being selected. Unlike probability sampling, which relies on random selection, non-probability sampling is often based on researcher judgment, convenience, or specific criteria. This method is useful when researchers need quick insights, are working with limited resources, or studying niche populations where random sampling is impractical.
Since non-probability sampling does not guarantee that every individual in the population has an equal chance of selection, it can introduce selection bias. However, it remains widely used in exploratory research, qualitative studies, and real-world applications where probability sampling is either unnecessary or unfeasible.
There are several types of non-probability sampling methods, each serving different research needs.
1. Convenience Sampling
Convenience sampling involves selecting participants who are easiest to access. This method is commonly used in early-stage research or situations where time and resources are limited. Researchers typically gather data from people who are readily available, such as students on a college campus, shoppers at a mall, or online survey respondents.
For example, a professor conducting a study on student study habits might only survey students from their own classes because they are easily reachable. Similarly, a retail store might survey customers who walk into their store rather than reaching out to a broader customer base.
While convenience sampling is fast and cost-effective, it carries the risk of producing non-representative results. Since the sample is drawn from a specific, accessible group, the findings may not generalize to the entire population.
2. Judgmental (Purposive) Sampling
Judgmental sampling, also known as purposive sampling, involves selecting participants based on the researcher’s judgment of who will be most useful for the study. Instead of random selection, researchers choose individuals who have specific characteristics or knowledge relevant to the research question.
For instance, if a company wants to study the purchasing behaviors of luxury car buyers, researchers may specifically select high-income individuals rather than randomly surveying the general population. Similarly, in medical research, doctors may select patients with specific symptoms or conditions to study the effects of a new treatment.
This method is useful when researchers need targeted insights from a specific subgroup rather than a general population. However, subjectivity in participant selection can introduce bias, making it difficult to generalize findings beyond the sampled group.
3. Snowball Sampling
Snowball sampling is used when studying hard-to-reach or specialized populations. It works by asking initial participants to refer additional people they know who meet the study criteria. The sample "snowballs" as new participants recruit others, expanding the sample size gradually.
This method is particularly useful in sensitive or niche research areas, such as studies on drug addiction, undocumented immigrants, or underground political movements. Since these groups may be difficult to access through traditional means, researchers rely on participant referrals to reach a larger audience.
For example, if a researcher is studying the experiences of refugees in a particular country, they may start with one refugee and ask them to introduce other refugees willing to participate.
While snowball sampling helps access hidden populations, it can lead to biased samples if the participants have similar characteristics, limiting the diversity of responses. Additionally, reliance on referrals can make the sample less random and more difficult to control.
4. Quota Sampling
Quota sampling ensures that certain predefined characteristics are proportionally represented within the sample. Researchers divide the population into subgroups (e.g., age, gender, income level) and then select participants to match the desired proportions.
For example, if a researcher wants to study shopping behaviors and knows that 60% of the target market consists of women and 40% consists of men, they will ensure that the sample reflects these proportions. Unlike probability stratified sampling, quota sampling does not use random selection; researchers actively choose participants to fit the quota.
This method is commonly used in market research and opinion polls, where ensuring demographic balance is crucial for accurate insights. However, because participants are not randomly selected, quota sampling is still susceptible to selection bias, and the final sample may not fully represent the broader population.
5. Voluntary Response Sampling
Voluntary response sampling involves collecting data from individuals who choose to participate in a survey or study. This method is often seen in online polls, customer feedback forms, and public opinion surveys where people opt in to provide responses.
For instance, an online news website might ask readers to participate in a poll about a political issue, or a company may collect product reviews from customers who voluntarily submit feedback. While this method is easy to implement, it is prone to self-selection bias, meaning that people with strong opinions (either positive or negative) are more likely to participate than those with neutral views.
As a result, voluntary response sampling often overrepresents extreme opinions, making it less reliable for generalizing findings to the entire population.
Examples of Statistical Sampling
Statistical sampling is widely used in research, business, healthcare, and social sciences to make informed decisions based on representative data. Different sampling methods are applied depending on the study's goals, the population size, and resource availability. Below are real-world examples demonstrating both probability and non-probability sampling in action.
1. Simple Random Sampling in Political Polls
A national news organization wants to predict the outcome of an upcoming presidential election. Instead of surveying the entire voting population, they select 10,000 registered voters at random from the national voter database. Every individual has an equal chance of being selected, ensuring a representative sample.
By applying statistical analysis, they estimate overall voting trends, providing insights into candidate popularity across different demographics. Since the selection process is random, the results can be generalized to the larger voting population with a known margin of error.
2. Stratified Sampling in Healthcare Studies
A pharmaceutical company is conducting clinical trials for a new diabetes drug. They need a diverse and representative group of patients, ensuring that different age groups, genders, and ethnic backgrounds are included.
To achieve this, they divide the population into strata (e.g., 18-30, 31-50, 51+ age groups) and randomly select participants proportionally from each stratum. This approach ensures that every subgroup is adequately represented, leading to more reliable and generalizable medical findings.
3. Systematic Sampling in Quality Control
A smartphone manufacturer wants to test the quality of its products before shipping them to retailers. Instead of inspecting every unit, they use systematic sampling by selecting every 50th phone off the assembly line for testing.
This method is efficient, ensuring that samples are spread evenly across production batches. If defects are found in the sampled phones, the manufacturer can investigate and correct issues before mass distribution, improving overall product quality.
4. Cluster Sampling in Education Research
A government education board wants to assess student performance in mathematics across a large country. Instead of randomly selecting students from all schools, they use cluster sampling, randomly choosing 50 schools and testing all students within those schools.
This method simplifies data collection by reducing travel and logistical costs while still providing statistically meaningful results. The findings help policymakers develop targeted educational programs to improve overall student performance.
5. Convenience Sampling in Market Research
A new coffee shop wants to gather customer feedback on its product offerings. Instead of conducting an expensive, large-scale survey, they interview customers who walk into the store during the first month of operation.
Since customers are chosen based on convenience, the findings might not fully represent all potential customers. However, this method provides quick and low-cost insights, helping the business make initial product adjustments before conducting broader surveys.
6. Snowball Sampling in Social Studies
A researcher studying the experiences of undocumented immigrants in a specific country faces difficulties finding participants due to legal concerns. They start with a small group of known participants and ask them to refer others who might be willing to share their experiences.
Over time, the sample size "snowballs," allowing the researcher to collect more data on a hard-to-reach population. Though this method may introduce bias (since participants are likely to have similar backgrounds), it is often the best option for sensitive or hidden populations.
7. Quota Sampling in Advertising Campaigns
An advertising agency is conducting a survey to understand consumer preferences for a new product. They aim to ensure that the sample reflects market demographics, with 60% female and 40% male respondents, along with proportional representation across different income levels.
Rather than selecting participants randomly, they actively seek individuals who fit these quotas, ensuring the sample mirrors the target audience. This method helps companies develop tailored marketing strategies but lacks the randomness of probability sampling.
8. Voluntary Response Sampling in Online Surveys
A technology company wants to collect feedback on its new software update. They send an email survey to all users, but only allow those interested to participate voluntarily.
Since participants self-select, the sample may overrepresent users who feel strongly about the software (either positively or negatively), leading to potential bias. While the results provide useful insights, they are not always generalizable to the entire customer base.
Key Factors to Consider When Choosing a Sampling Method
Selecting the right sampling method is critical to ensuring that research findings are accurate, representative, and applicable to the broader population. Several factors influence this decision, including the study’s objectives, population characteristics, available resources, and the required level of precision. Understanding these elements helps researchers and businesses minimize bias and maximize the reliability of their conclusions.
1. Research Objectives and Study Goals
The purpose of the research significantly affects the choice of sampling method. If the goal is to make generalizable conclusions about a population, probability sampling methods, such as simple random sampling or stratified sampling, are preferred. These methods ensure that every member of the population has an equal or proportional chance of being selected, reducing selection bias.
However, if the study is exploratory or focused on a niche group, non-probability sampling may be a more practical choice. For instance, snowball sampling is effective when studying hard-to-reach populations such as undocumented workers or individuals with rare medical conditions.
2. Population Size and Accessibility
The size and characteristics of the target population also determine the best sampling method. In large, diverse populations, stratified sampling can help ensure representation across different subgroups. If the population is geographically dispersed, cluster sampling may be more efficient, as it reduces the logistical effort required to collect data.
For smaller populations or when access is restricted, non-probability methods such as convenience or quota sampling may be the only viable options. For example, a researcher studying consumer behavior in a local market may rely on convenience sampling by interviewing customers at a shopping mall.
3. Available Time and Resources
Sampling decisions are often constrained by the time, budget, and manpower available for data collection. Probability sampling methods, while more reliable, require more effort, planning, and financial investment. Random selection and ensuring proportional representation demand advanced tools, data access, and trained personnel.
Non-probability sampling, in contrast, is generally faster and more cost-effective. Businesses conducting quick market research may use voluntary response or convenience sampling to gather rapid feedback, even if it introduces some bias. The choice ultimately depends on balancing research quality with practical limitations.
4. Level of Precision and Margin of Error
The level of accuracy needed for decision-making influences the sampling method. Probability sampling methods provide a known margin of error, making them ideal for scientific studies, official statistics, and market research where precise estimates are necessary.
If precision is not the primary concern, or if the goal is to gather preliminary insights rather than definitive conclusions, non-probability methods may suffice. However, researchers must recognize that non-random selection increases bias and limits the ability to generalize findings to the entire population.
5. Ethical and Practical Considerations
Some studies involve sensitive topics or hard-to-reach individuals, requiring ethical considerations in sampling. In healthcare and social research, researchers must ensure confidentiality, informed consent, and inclusivity.
In such cases, non-probability methods like snowball sampling may be the most effective way to build trust and access respondents, even if they introduce selection bias. Ethical guidelines should always be prioritized to protect participant rights and data integrity.
With these factors in mind, researchers and businesses can make informed decisions when selecting a sampling method. The next section guides on choosing between probability and non-probability sampling based on specific research needs.
How to Choose the Right Sampling Method
Choosing the correct sampling method depends on whether the study requires random selection and representativeness (probability sampling) or whether convenience and practicality outweigh statistical accuracy (non-probability sampling).
When to Use Probability Sampling
Probability sampling is the best choice when researchers need high accuracy and generalizable results. This method is most appropriate for:
- Large-scale population studies where findings need to reflect the entire group (e.g., national census, political polling).
- Scientific research and experiments require a controlled margin of error and statistical validity.
- Business analytics and predictive modeling, where organizations want to apply insights to their entire customer base.
For instance, in medical research, stratified random sampling ensures that patients from different age groups and medical histories are proportionally represented, leading to more reliable treatment evaluations.
-->Check in this article when it is better to use each type of sampling
When to Use Non-Probability Sampling
Non-probability sampling is suitable when random selection is impractical or unnecessary. This approach is best for:
- Exploratory research, where the goal is to generate initial insights rather than precise measurements.
- Hard-to-reach populations, such as marginalized groups, rare disease patients, or specialized industry professionals.
- Quick market studies, when businesses need immediate consumer feedback without investing heavily in data collection.
For example, a startup testing a new product might rely on convenience sampling by surveying walk-in customers at a local store. Although not representative of the entire market, this method provides rapid feedback for early-stage decision-making.
The following table gathers the main differences between Probability and Non-Probability sampling so you can get the idea of when to choose the right one.
Statistical Sampling Best Practices
To ensure accuracy, efficiency, and reliability in data collection, you must follow best practices in statistical sampling. Proper sampling methods reduce bias, improve representativeness, and enhance the overall quality of research findings. These principles apply to both probability and non-probability sampling, helping researchers optimize resources while maintaining statistical integrity.
Ensure a Well-Defined and Comprehensive Sampling Frame
A sampling frame is the list or database of all individuals or units that could be selected for a study. If it is incomplete or inaccurate, the results will be non-representative and lead to biased conclusions.
For example, if a study on healthcare access only includes urban hospitals, it would exclude rural populations who may have significantly different experiences. A well-defined sampling frame ensures that every relevant individual has a chance to be selected, reducing errors caused by exclusion bias.
Select the Right Sampling Method for the Research Goal
Choosing between probability and non-probability sampling depends on research objectives, available resources, and the level of statistical precision required.
- Probability sampling is essential for scientific research, policy analysis, and studies requiring generalizability. For example, stratified sampling ensures representation from different demographic groups in a nationwide survey.
- Non-probability sampling is ideal for exploratory studies, pilot testing, and qualitative research. A business launching a new product may use convenience sampling by collecting customer feedback from early adopters rather than randomly selecting participants.
Selecting the appropriate technique helps ensure valid and reliable insights while optimizing research efficiency.
Determine the Optimal Sample Size
The sample size should be large enough to represent the population accurately but not excessively large, as this can increase costs and time without improving the precision of results. Researchers should use statistical formulas to determine the ideal number of respondents based on:
- Confidence level (e.g., 95%)
- Margin of error (e.g., ±5%)
- Population variability (i.e., how diverse responses are)
For example, a retail company conducting a customer satisfaction survey might calculate that 400 respondents provide reliable results while ensuring that the study remains cost-effective. If the sample size is too small, the results may lack reliability; if too large, unnecessary resources may be wasted.
Reduce Non-Response Bias
Non-response bias occurs when selected participants refuse to participate or drop out, leading to incomplete data that misrepresents the population. To minimize this issue:
- Follow up with non-respondents through reminders or alternative survey methods.
- Offer incentives, such as discounts or prize entries, to encourage participation.
- Ensure accessibility, providing surveys in multiple formats (e.g., online, phone, in-person).
For example, in a university alumni survey, response rates improve when personalized emails and small incentives (such as a free digital report) are provided. Without such efforts, data may be skewed towards individuals who are already engaged, excluding those who are less likely to respond.
Use Weighting and Adjustments When Necessary
In some cases, the collected sample may not fully reflect the demographics of the target population. Weighting adjustments help correct imbalances by giving more statistical importance to underrepresented groups.
For instance, if a survey on consumer preferences accidentally includes more young respondents than older ones, statistical weighting can adjust results to match age distributions in the general population. This ensures that findings are not disproportionately influenced by one demographic.
To Wrap Things Up
Statistical sampling is a fundamental technique that allows researchers, businesses, and policymakers to gather insights from a subset of a population without the need to survey every individual. By selecting an appropriate sampling method, you can achieve accurate, reliable, and cost-effective results while minimizing bias and errors.
The choice between probability and non-probability sampling depends on factors such as research objectives, population size, resource availability, and the need for statistical precision. Probability sampling is ideal when generalizability and accuracy are required, whereas non-probability sampling provides a practical alternative for exploratory studies and quick insights.
Understanding some of the key factors—such as sample size, selection techniques, and potential biases—ensures that sampling methods are effectively applied in research, marketing, healthcare, and other fields. By carefully evaluating the advantages and limitations of each approach, researchers can optimize data collection processes and improve the quality of their findings.
The next section will address frequently asked questions to clarify common concerns about statistical sampling.
FAQs
What is the difference between probability and non-probability sampling?
The main difference between probability and non-probability sampling lies in how samples are selected.
- Probability sampling involves random selection, meaning every individual in the population has an equal or known chance of being chosen. This method reduces bias and allows researchers to generalize findings to the larger population. Examples include simple random sampling, stratified sampling, and cluster sampling.
- Non-probability sampling relies on non-random selection, meaning that not all individuals have an equal chance of being included. This approach is used when time, budget, or accessibility constraints prevent random selection. While faster and more convenient, it may introduce selection bias and limit generalizability. Examples include convenience sampling, quota sampling, and snowball sampling.
Choosing between the two depends on whether statistical accuracy or practical efficiency is the top priority.
How do you determine the right sample size?
The appropriate sample size depends on factors such as population size, desired confidence level, and margin of error. Larger samples tend to produce more accurate results, but increasing sample size beyond a certain point provides diminishing returns.
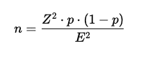
To calculate an ideal sample size, researchers often use the following formula for simple random sampling:

Where:
- n = required sample size
- Z = z-score (based on confidence level, e.g., 1.96 for 95% confidence)
- p = estimated proportion of the population with the characteristic of interest (default 0.5 if unknown)
- E = margin of error (e.g., 0.05 for ±5%)
For example, in a political survey where researchers want a 95% confidence level and a ±5% margin of error, they would need a sample of approximately 384 respondents from a large population.
When working with finite populations, adjustments must be made using the finite population correction formula to avoid oversampling. Online sample size calculators can simplify this process.
What is the best probability sampling method?
What are the most common errors in sampling?
Sampling errors occur when the selected sample does not accurately represent the population. Some of the most common errors include:
- Selection bias – Occurs when certain groups are overrepresented or underrepresented due to flawed sampling techniques (e.g., using convenience sampling instead of random sampling).
- Non-response bias – Happens when a significant portion of selected participants refuse to respond, leading to skewed results.
- Sampling frame errors – Arise when the list of potential respondents does not accurately reflect the target population (e.g., surveying only landline users in a study about internet usage).
- Undercoverage – Happens when some segments of the population are excluded, resulting in biased findings.
- Overgeneralization – Occurs when results from a small or unrepresentative sample are mistakenly applied to the entire population.
Minimizing these errors requires careful planning, selecting an appropriate sampling method, and ensuring a sufficient sample size to improve reliability.
Are Statistical Sampling and Probabilistic Sampling the Same?
Statistical sampling and probabilistic sampling are related but distinct concepts in research methodology. While all probabilistic sampling methods fall under the broader umbrella of statistical sampling, not all statistical sampling methods are probabilistic. Understanding their differences is essential for selecting the right approach for data collection and analysis.
What Is Statistical Sampling?
Statistical sampling is a broad term that refers to any method of selecting a subset of a population to analyze and draw conclusions. It encompasses both probabilistic (random) and non-probabilistic (non-random) sampling techniques. The key goal is to create a representative sample that allows researchers to infer insights about the entire population while minimizing bias and errors.
Statistical sampling can be divided into two main categories:
- Probability Sampling (random selection)
- Non-Probability Sampling (non-random selection)
What Is Probabilistic Sampling?
Probabilistic sampling, also known as random sampling, is a specific type of statistical sampling where each unit in the population has a known, non-zero chance of being selected. This ensures that the selection process is unbiased and that results can be generalized to the broader population using statistical inference.
There are different types of probability sampling, including:
- Simple Random Sampling – Every unit has an equal chance of being selected.
- Stratified Sampling – The population is divided into subgroups (strata) before random sampling.
- Cluster Sampling – The population is split into clusters, and entire clusters are randomly selected.
- Systematic Sampling – Every nth unit is chosen after selecting a random starting point.
Differences Between Statistical Sampling and Probabilistic Sampling
AspectStatistical SamplingProbabilistic SamplingDefinitionAny method of selecting a sample from a population for analysis.A specific type of statistical sampling where selection is random.Types IncludedIncludes both probability and non-probability methods.Includes only probability-based methods.Selection ProcessCan be random or non-random.Always random with a known probability for each unit.Bias RiskHigher if using non-probability methods.Lower due to randomization.Use CasesUsed in various research designs, including exploratory and qualitative studies.Used when statistical inference and generalization are required.ExamplesConvenience sampling, quota sampling, probability sampling.Simple random sampling, stratified sampling, cluster sampling.
If you liked this article, make it shine on your page :)